
The puppies continue to grow and develop. They graduated to the big back yard, which gave them a chance to meet the horse


who actually showed a great deal of interest in meeting the puppies and came running over. The puppies were somewhat hesitant to meet the horse though.

Surprisingly, the horse was not bothered at all by the puppy barks (which are no longer small). Eventually the puppies approached the horse

and a good time was had by all.

Now, whenever the horse hears the puppies are out in the back yard he will come running to the fence.
Sadly, for us, some of the puppies had to learn to walk on a leash so they could go to their new homes.
Sometimes, the play can get a bit out of hand.

But Myrna continues to instruct the puppies in manners and decorum, making sure they grow up to be good canine citizens.

Usually the play is just good practice for being good wolfhounds


.jpg)
Life at the Hounds of Heaven is not all play and smelling the flowers. One of the puppies twisted her knee and Aoife had to have the tip of her tail amputated because she just kept splitting it. Both spent time in the infirmary.
With the puppies getting their 12 week immunizations, we could return to the show ring. Here are Phillie receiving the Best of Breed ribbon and Paddy receiving the Best of Opposite Sex ribbon at the Kalamazoo, MI show.

In that cluster, Paddy received one Best of Breed major win and one Best of Opposite Sex major win and Phillie received one Best of Breed major win and two Best of Opposite Sex wins.
Two weeks later, Paddy received the Best of Breed ribbon both days at the Mt. Pleasant, MI shows and Myrna received Best of Opposite Sex to Best in Breed both days. Not bad for showing in 95 degree plus (and sunny !) weather.
Meanwhile, back at the home front, Grandda Ian thinks great thoughts.
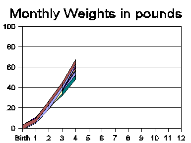
We hope you have enjoyed sharing the pleasure and pain of whelping and raising a litter of puppies. This litter has been remarkably consistent in weight, temperament and color. Here are the weight charts for the first 4 months:
Monthly Weights
| ID | Birth | 1 | 2 | 3 | 4 | 5 | 6 | 7 | 8 | 9 | 10 | 11 | 12 |
| Saoirse Neon pink |
1 | 8 | 21 | 37 | 55 | ||||||||
| Ruairi S. blue |
1 | 7 | 23 | 39 | 64 | ||||||||
| Tiernan S. black |
1 | 8 | 23 | 40 | 60 | ||||||||
| Riona Purple/purple |
1 | 7 | 22 | 39 | 58 | ||||||||
| Roisin Red/red |
1 | 7 | 22 | 39 | 50 | ||||||||
| Keeva S. burgundy |
1 | 8 | 23 | 34 | 50 | ||||||||
| Rhianon S. red |
1 | 8 | 23 | 42 | 62 | ||||||||
| Granuaile Red/paws |
1 | 7 | 22 | 36 | 60 | ||||||||
| Donegan Periwinkle |
1 | 9 | 24 | 42 | 63 | ||||||||
| Finian S. green |
1 | 8 | 25 | 41 | 64 | ||||||||
| Carey Black/bones |
1 | 8 | 22 | 41 | 59 | ||||||||
| Ruan S. teal |
1 | 7 | 24 | 41 | 61 | ||||||||
| Cuilke Purple/paws |
1 | 7 | 21 | 40 | 63 | ||||||||
| Zephan Blue/blue |
1 | 8 | 25 | 43 | 65 |
This will be the last update on the Presidents' Day litter. We will continue to post a new picture of the week each Sunday.
Back to the Presidents' Day Litter Homepage